三相异步电动机转速公式为:n=60f/p(1-s) f代表电源频率 P为极对数 n'代表转差率 s代表转差率 三相异步电动机转速是分级的,是由电机的“极数”决定的。 三相异步电动机“极数”是指定子磁场...
电工公式
电势公式
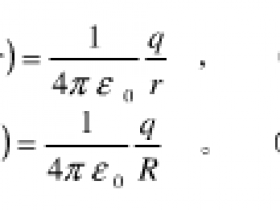
这里分析几种电荷分布产生的的电势公式 1、均匀分布的球面电荷(球面半径为R。带电量为q) 电势分布公式为: 2、均匀分布的球体电荷(球体的半径为R,带电量为q) 电势分布公式为: 3、均匀分布的无限大...
电工公式
角速度与转速的关系
小编查了好多资料,才了解到原来角速度就是在物理学中描述物体转动时在单位时间内转过角度以及转动方向的矢量(更准确地说,是伪矢量),通常用希腊字母Ω或ω来表示。在国际单位制中,单位是“弧度/秒”,但是也可...
视在功率计算公式
视在功率的计算公式 S=UI或者S=P/COS∮ S 视在功率 P 有功功率 U 电压 I 电流 COS∮ 功率因数 无功是相对有功而言的,一般来说它是电感性设备建立磁场实现能量交换所需要的一个电源,...
电工学常用公式
电工学常用公式 1.欧姆定律 导体中的电流,跟导体两端的电压成正比,跟导体的电阻成反比。 I=U/R 一段电路中的I、U、R的关系 2.电功 电流在某段电路上所做的功,等于这段电路两端的电压、电路中的...
电阻计算公式
电阻计算公式 定义式:R=U/I 定义公式:R=ρL/S 欧姆定律变形式:R=U/I 电阻串联:R=R1+R2+R3+...+Rn 电阻并联:1/R=1/R1+1/R2+1/R3+..+1/Rn 与电...
短路电流计算公式
1)三相短路电流计算:起始短路电流周期分量有效值/KA In =1.05Un /√3 /Z∑=1.05Uφ/√R2∑+X2∑ 式中 Un、U/φ——网络标称电压(线电压、相电压),V。 Z∑、R2∑、...
电工公式
额定电流计算公式
首先要额定电压、电阻,才能额定电流!它的计算公式I=U/R,I为电流、U为电压、R为电阻!另一个计算公式是:I=P/U,P为电功率! 额定电流=额定功率/额定电压(I=P/U) 三相电动机的额定电流指...
导线截面积计算公式
导线截面积计算公式(导线距离/压降/电流关系) 铜线 S=IL÷(54.4×U) 铝线 S=IL÷(34×U) I-导线中通过的最大电流(A); L-导线长度(m);U-允许的压降(V);S-导线的截...
电线电缆工作电流计算公式
电(线)缆工作电流计算公式: 单相电流计算公式 I=P÷(U×cosΦ) P-功率(W);U-电压(220V);cosΦ-功率因素(0.8);I-相线电流(A) 三相电流计算公式 I=P÷(U×1.7...
